반응형
역률 개선은 계통에서 받는 무효전력을 줄이기 위한 것이고,
콘덴서 용량 계산은 그 무효전력을 얼마나 대신 공급할지 결정하기 위한 것이다.
즉, 역률 개선은 전력회사에서 받아오는 전기를 줄이기 위한 것이고,
콘덴서 용량 계산은 그 전기(실제 일하는 게 아닌, 모터 자기장을 만들기 위해 필요한 전기, 무효전력)를
콘덴서가 얼마나 대신 만들어 줄지 정하는 것이다.
콘덴서 용량은?
어떤 공장에 3상 380 V, 100 kW 수전 설비가 있다.
현재 부하의 역률은 60% (지상)이다. 이 부하에 전력용 콘덴서를 병렬로 설치하여 종합 역률을 90% (지상)로 개선하려 한다.
부하의 유효전력은 일정하다고 할 때, 필요한 콘덴서 용량 [kVar]을 구하시오.
역률 개선 콘덴서 용량 구하기

P : 유효전력 (kW)
tan𝞱1 :개선 전 역률 각
tan𝞱2 : 개선 후 역률 각
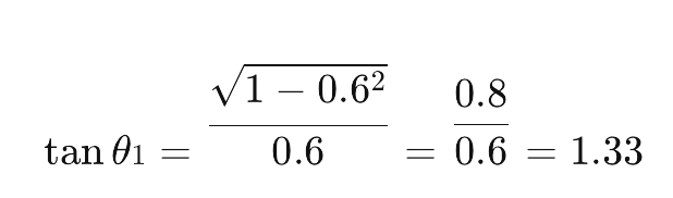
1) 현재 부하 역률 0.6

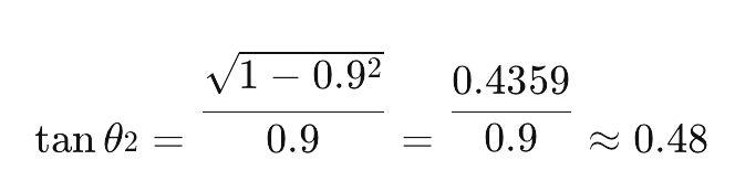
2) 개선 후 역률 0.9

3) 콘덴서 용량

역률 개선을 위해 필요한 콘덴서 용량은 85 [kVar]이다.
반응형
'Certificate Data > 전기공학' 카테고리의 다른 글
| 데이터센터 분류 : 신뢰성(Tier), 규모, 운영 목적 (0) | 2026.01.29 |
|---|---|
| 전기공사 변압기 인양 시 주의사항 (2) | 2025.03.23 |
| 3상4선식의 실무 사용과 전기안전 (0) | 2025.03.10 |
| 전기설비의 화재예방 등을 위한 KESC 일부개정(24.12.06.) (0) | 2024.12.07 |
| 최근 3년간 전기난로 & 장판 화재 발생 원인 (0) | 2024.11.27 |