반응형
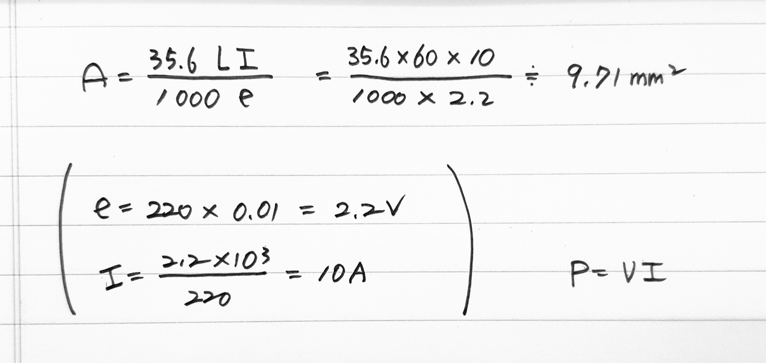
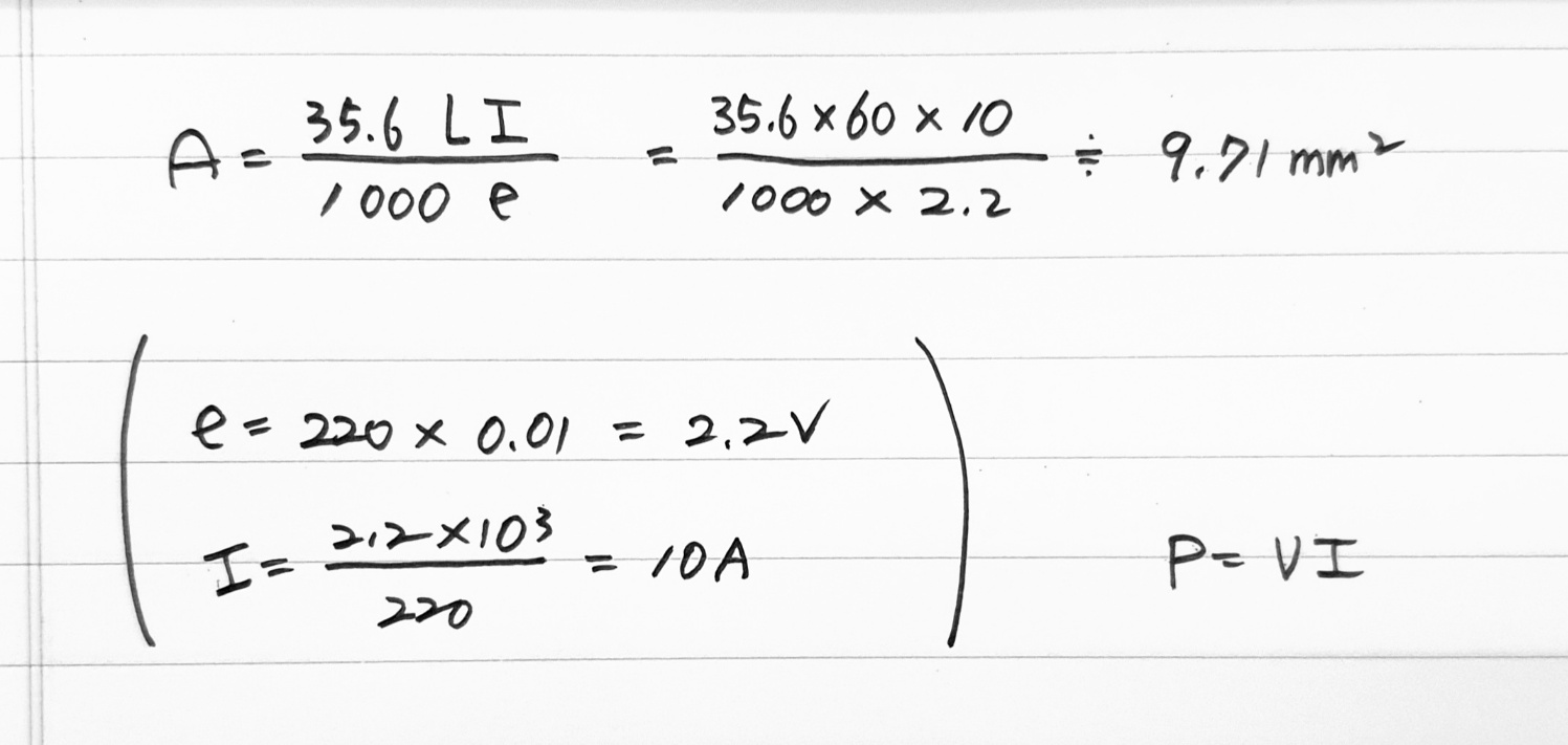
전선의 최소단면적[㎟]
전원공급방식은 단상 2선식
분전반 220V, 2.2kW
부하 설치 거리 60m
전압강하는 1% 이내로 할 때
전선의 최소단면적은? 9.71[㎟]

★ 전선의 공칭단면적은 10㎟이다.
전선의 공칭 단면적[㎟]
| 1.5 | 2.5 | 4 | 6 | 10 |
| 16 | 25 | 35 | 50 | 70 |
| 95 | 120 | 150 | 185 | 240 |
| 300 | 400 | 500 | 630 | [㎟] |
★ 단성 2선식 전압강하

320x100
반응형
'Certificate Data > 소방설비' 카테고리의 다른 글
| 소방전기 2차 동손 계산(3상 유도전동기) (0) | 2024.01.05 |
|---|---|
| 소방전기 전계의 실효값 계산(구의 단위면적당 전력) (0) | 2024.01.04 |
| 소방선로 종단저항값과 전류계산(P형 수신기와 감지기) (0) | 2023.12.29 |
| 소방 경계구역의 계산과정(자동화재탐지설비) (0) | 2023.12.28 |
| 소방 감지기 수량 산출(차동식 스포트형 2종 감지기) 경계구역수 선정 (0) | 2023.12.27 |