반응형
아래와 같은 회로에서 전압 v2를 구할 수 있다.

들어오는 전류의 합과 나가는 전류의 합이 같다는 KCL법칙 이용!
(전류 = 전압/저항)

전류 20[A]가 들어오면 ~~~~

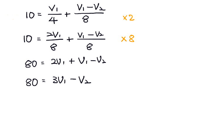
전류 10[A]가 들어온다면 ~~

정리하면



320x100
반응형
'Certificate Data > 전기안전' 카테고리의 다른 글
| 직류 전원공급 장치 회로 (0) | 2022.06.24 |
|---|---|
| 철심회로의 합성자기저항 & 철심부분자기저항 구하기 (0) | 2022.06.23 |
| 평형 3상 회로에 흐르는 전류 크기 (0) | 2022.06.21 |
| 환상 솔레노이드 내부의 자계 세기[AT/m] (0) | 2022.06.18 |
| 자기장 내 직선 도선이 받는 힘 (0) | 2022.06.17 |