반응형
    
    
    
  
FT도는 고장(실패)논리를 쌓는다.
계산결과는 기본적으로 고장확률을 나타낸다.
신뢰도(정상확률)이 필요하면, 1 - P(고장) = 신뢰도

FT도에서 사용하는 도형
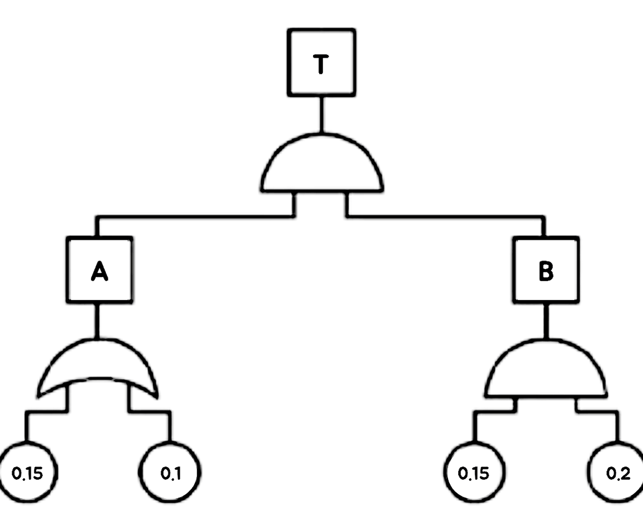
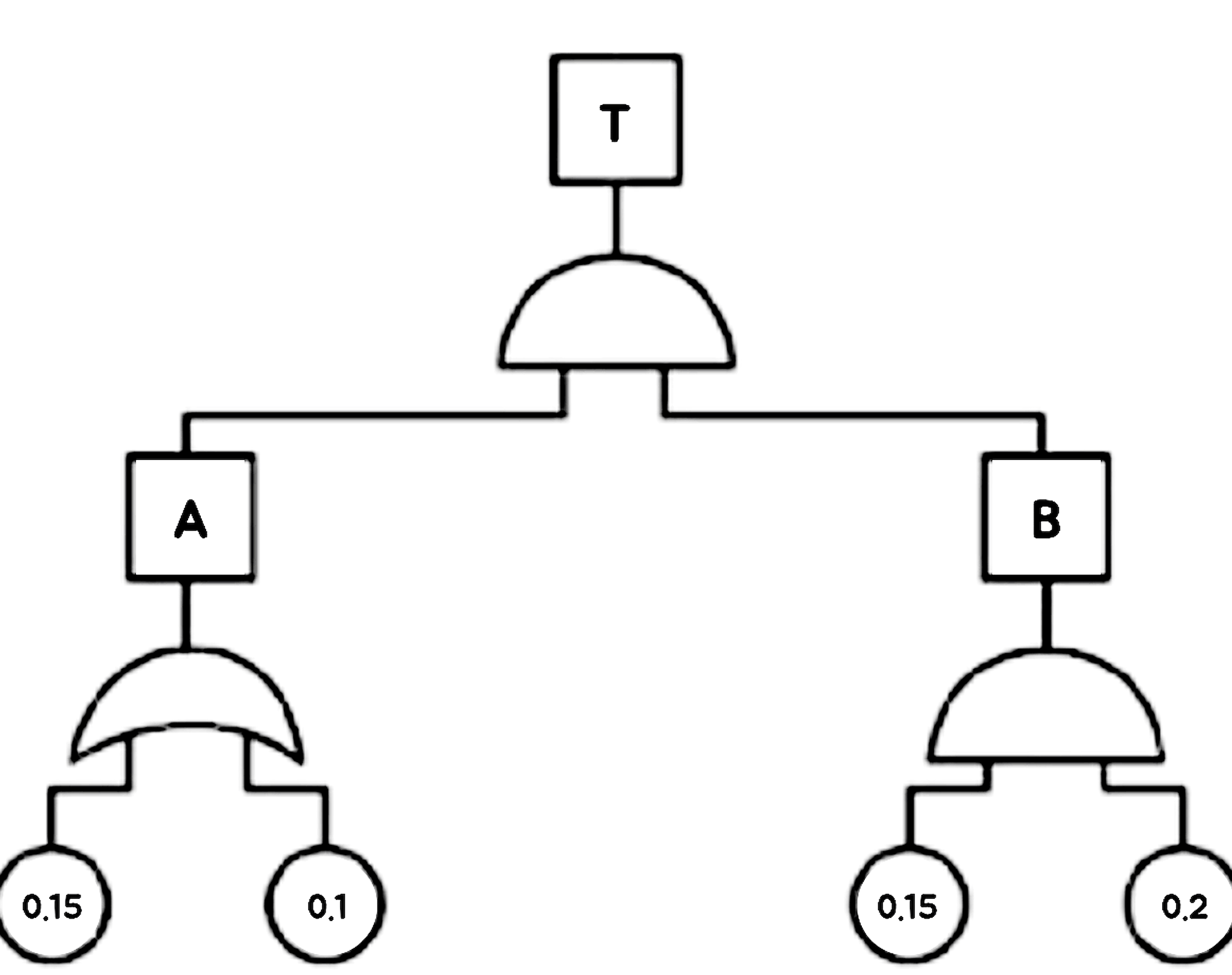
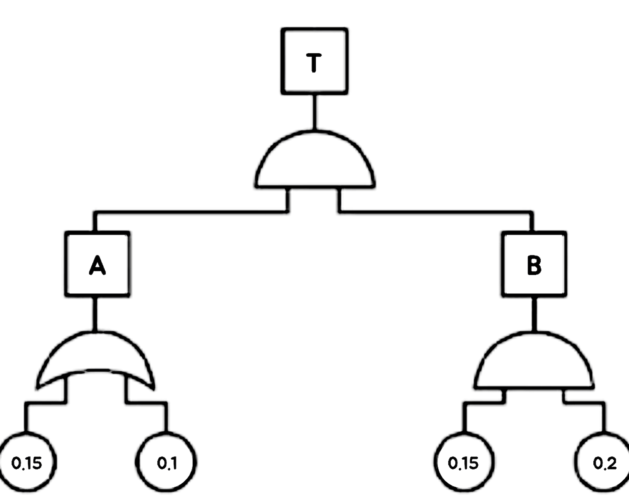
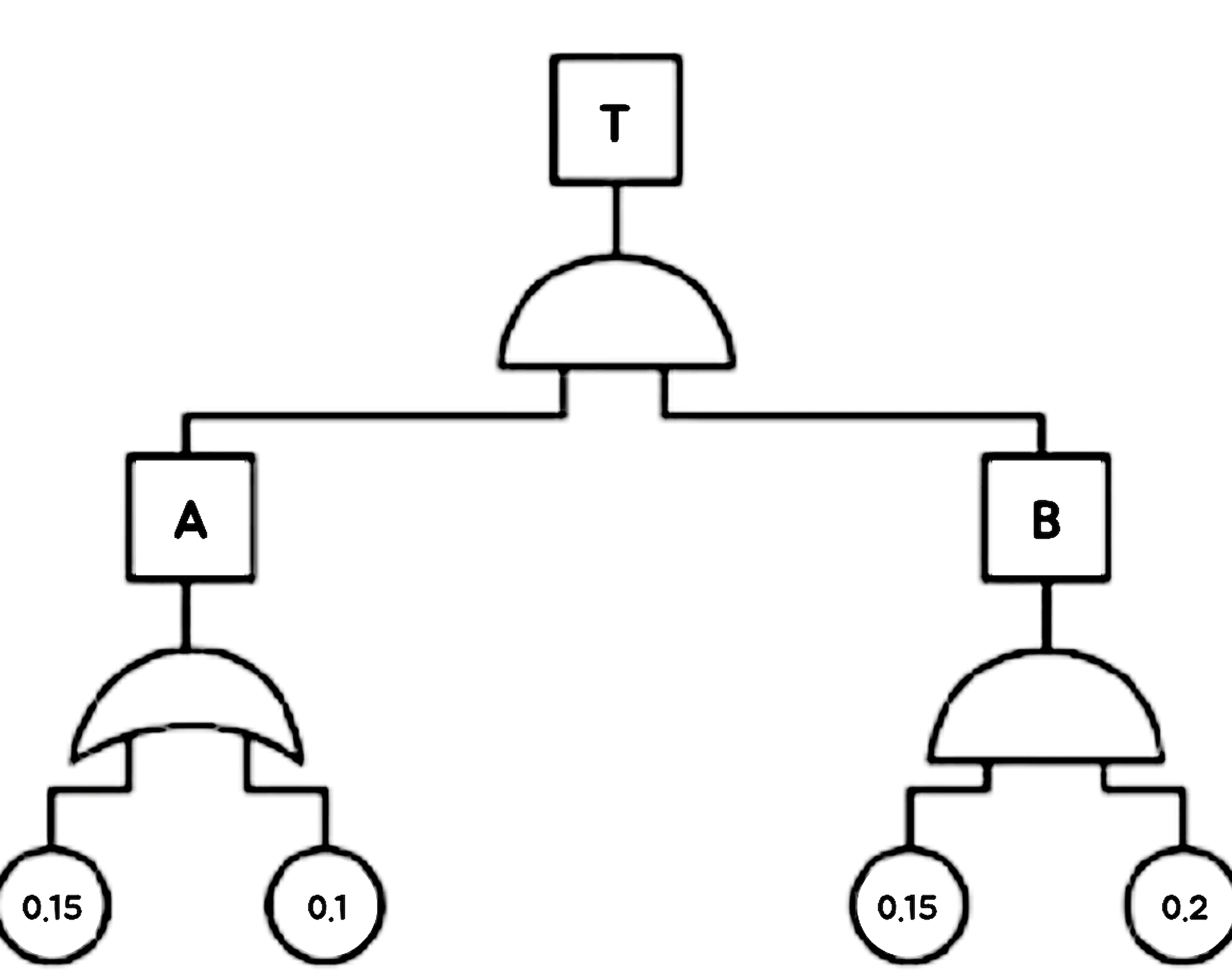
1. 사각형은 분석 대상 사건
2. 원은 더 이상 분해하지 않는 기본고장으로 숫자는 보통 고장확률 p
3. 게이트는 논리 연산으로 원인과 결과를 연결한다.
3-1. OR 게이트 : 입력 중 하나 이상 발생하면 출력 사건 발생
계산 " 1-(1-0.15)(1-0.1) = 0.235 "
3-2. AND 게이트 : 모두 발생해야 출력 사건 발생
계산 " 0.15 * 0.2 = 0.03 "
T의 신뢰도(%)는?
P(A) = 1-(1-0.1)(1-0.15) = 0.235
P(B) = 0.15 * 0.2 = 0.03
P(T) = 0.235 * 0.03 = 0.00705
신뢰도 = 1 - 0.00705 = 0.99295 = 약 99.3%
320x100
    
    
  반응형
    
    
    
  'Certificate Data > 인간공학' 카테고리의 다른 글
| [인간공학기사 실기] 소음원의 소음레벨(dB) (0) | 2025.10.17 | 
|---|---|
| 작업환경 개선을 위한 MSD(근골격계) 개선 단계 (0) | 2025.10.16 | 
| [인간공학기사] 휴식시간 R (Murrell`s law, 머렐의 법칙) (0) | 2025.10.14 | 
| [인간공학기사 실기] 작업 중 산소소비량 (에너지) (0) | 2025.10.13 | 
| [인간공학기사 실기] 표준시간 계산 (내경법) (0) | 2025.10.13 |